定义三角函数

在进入进一步的讨论前,我们引入一些方便的记号。

f: A \to B 是函数。设 C \subset ACA子集)。我们写

f(C) = \{ f(c) \mid c \in C \}

比方说,前面提到, x 为实数时 \exp {x} 也是实数。我们可以用简洁一些的算学话描述这句大白话:

\exp {\mathbb{R}} \subset \mathbb{R}

类似地,设 A 为开区间 (0, 2\pi/4) 。则

\cos {A} \subset (0, 1), \quad \sin {A} \subset (0, 1)

P 为全体非负实数作成的集,则

P = P^2

这里 {}^2 表示“平方”函数: x \mapsto x \cdot x = x^2P^2 \subset P 是显然的:非负实数的平方还是非负实数。不过, P \subset P^2 就是比较深的事实了——细心的读者能看出来这是在表达什么吗?若 S 为全体非负有理数作成的集,那么 S = S^2 吗?


我们称全体绝对值为 1 的复数作成的集为单位圆 U

U = \{ z \mid |z| = 1 \}
You could see the source code here.
在进入进一步的讨论前,我们引入一些方便的记号。

设 $f$: $A \to B$ 是函数。设 $C \subset A$ ( $C$ 是 $A$ 的**子集**)。我们写
$$
f(C) = \{ f(c) \mid c \in C \}
$$
比方说,前面提到, $x$ 为实数时 $\exp {x}$ 也是实数。我们可以用简洁一些的算学话描述这句大白话:
$$
\exp {\mathbb{R}} \subset \mathbb{R}
$$
类似地,设 $A$ 为开区间 $(0, 2\pi/4)$ 。则
$$
\cos {A} \subset (0, 1), \quad \sin {A} \subset (0, 1)
$$
若 $P$ 为全体非负实数作成的集,则
$$
P = P^2
$$
这里 ${}^2$ 表示“平方”函数: $x \mapsto x \cdot x = x^2$ 。 $P^2 \subset P$ 是显然的:非负实数的平方还是非负实数。不过, $P \subset P^2$ 就是比较深的事实了——细心的读者能看出来这是在表达什么吗?若 $S$ 为全体非负**有理数**作成的集,那么 $S = S^2$ 吗?

---

我们称全体绝对值为 $1$ 的复数作成的集为单位圆 $U$ :
$$
U = \{ z \mid |z| = 1 \}
$$

确实百科上一看,定义就很清楚了,但从来不记得教科书上讲过,老师也没提过。也许那会儿老师觉得说几何意义不如直接上解析方程来的简单吧,但这种东西很容易混。

确实如此。还好,常用的就那么几个。就像记同学名字那样,接触多了,就没那么陌生了。

据说我们之后的高考,三角函数都不需要背公式了,直接印在卷子上。很难理解。真的刷题刷到一定地步了,公式还记不住的也太夸张了。

嘛,直接印公式可还行。

不过啊……难度确实没以前高了。但记不住公式的也确实太夸张了,三角函数毕竟是高中算学的重点之一。基本的还是得熟练的。

其实可以不用微积分计算面积。但三角得用。最后的方程需要找数值解。当然也可以用高深的工具写一个没什么用的解析解。


回想起我们引入过的记号

\begin{aligned} \text{$E_w$:} \quad \mathbb{R} & \to \mathbb{C}, \\ x & \mapsto \exp {wx} \end{aligned}

因为 \cos^2 + \sin^2 = 1 ,故 E_\mathrm{i} (\mathbb{R}) \subset U 。不过, E_\mathrm{i} (\mathbb{R}) 究竟是什么呢?设 A = [0, 2\pi) 。我们将证明, E_\mathrm{i} (A) = U 。换句话说,对单位圆上的任意一点 z ,总可以找到 [0, 2\pi) 的数 t ,使 E_\mathrm{i} (t) = \exp {\mathrm{i} t} = z 。因为 2\pi 也是 E_\mathrm{i} 的周期,故 E_\mathrm{i} (\mathbb{R}) = U

我们拆此事为若干小问题来解决。


0. 任取开区间 (0, 1) 的数 c ,必存在 t \in (0, 2\pi/4) 使 \cos t = c

考虑

\begin{aligned} \text{$f$:} \quad [0, 2\pi/4] & \to \mathbb{R}, \\ x & \mapsto \cos {x} - c \end{aligned}

f 为连续函数,且 f(0) = 1 - c > 0f(2\pi/4) = -c < 0 。从而存在 t \in (0, 2\pi/4) 使 f(t) = 0

1. 若 u > 0, v > 0, u^2 + v^2 = 1 ,则存在 t \in (0, 2\pi/4) 使 \exp {\mathrm{i}t} = u + \mathrm{i}v

我们知道,存在 t \in (0, 2\pi/4) 使 \cos t = u 。所以

\sin t = |\sin t| = \sqrt{\sin^2 t} = \sqrt{1 - \cos^2 t} = \sqrt{1 - u^2} = |v| = v

从而 \exp {\mathrm{i}t} = \cos t + \mathrm{i} \sin t = u + \mathrm{i}v

2. 若 u < 0, v > 0, u^2 + v^2 = 1 ,则存在 t \in (2\pi/4, 2\pi/2) 使 \exp {\mathrm{i}t} = u + \mathrm{i}v

U + \mathrm{i}V = -\mathrm{i} (u + \mathrm{i}v) = v - \mathrm{i}u 。则 U = v > 0, V = -u > 0, U^2 + V^2 = 1 。从而存在 s \in (0, 2\pi/4) 使 \exp {\mathrm{i}s} = U + \mathrm{i}V 。从而

u + \mathrm{i}v = \mathrm{i}(U + \mathrm{i}V) = \exp {\mathrm{i}\frac{2\pi}{4}} \cdot \exp {\mathrm{i}s} = \exp {\mathrm{i} \bigg( s + \frac{2\pi}{4} \bigg)}

t = s + 2\pi/4 。则 t \in (2\pi/4, 2\pi/2) ,且 \exp {\mathrm{i}t} = u + \mathrm{i} v

3. 0 + 1\mathrm{i} = \exp {\mathrm{i}\frac{2\pi}{4}} 。所以,若 v > 0u^2 + v^2 = 1 ,必存在 t \in (0, 2\pi/2) 使 \exp {\mathrm{i}t} = u + \mathrm{i}v

4. 若 v < 0u^2 + v^2 = 1 ,则存在 t \in (2\pi/2, 2\pi) 使 \exp {\mathrm{i}t} = u + \mathrm{i}v

U + \mathrm{i}V = - (u + \mathrm{i}v) = v - \mathrm{i}u 。则 V = -v > 0, U^2 + V^2 = 1 。从而存在 s \in (0, 2\pi/2) 使 \exp {\mathrm{i}s} = U + \mathrm{i}V 。从而

u + \mathrm{i}v = -(U + \mathrm{i}V) = \exp {\mathrm{i}\frac{2\pi}{2}} \cdot \exp {\mathrm{i}s} = \exp {\mathrm{i} \bigg( s + \frac{2\pi}{2} \bigg)}

t = s + 2\pi/2 。则 t \in (2\pi/2, 2\pi) ,且 \exp {\mathrm{i}t} = u + \mathrm{i} v

5. 还剩下 v = 0 的情形没说。不过,此时的情形很简单,因为 u 只能为 \pm 1\exp {\mathrm{i}0} = 1 + 0\mathrm{i}\exp {\mathrm{i}\frac{2\pi}{2}} = -1 + 0\mathrm{i}

You could see the source code here.
回想起我们引入过的记号
$$
\begin{aligned}
    \text{$E_w$:} \quad
    \mathbb{R} & \to \mathbb{C},    \\
    x          & \mapsto \exp {wx}
\end{aligned}
$$

因为 $\cos^2 + \sin^2 = 1$ ,故 $E_\mathrm{i} (\mathbb{R}) \subset U$ 。不过, $E_\mathrm{i} (\mathbb{R})$ 究竟是什么呢?设 $A = [0, 2\pi)$ 。我们将证明, $E_\mathrm{i} (A) = U$ 。换句话说,对单位圆上的任意一点 $z$ ,总可以找到 $[0, 2\pi)$ 的数 $t$ ,使 $E_\mathrm{i} (t) = \exp {\mathrm{i} t} = z$ 。因为 $2\pi$ 也是 $E_\mathrm{i}$ 的周期,故 $E_\mathrm{i} (\mathbb{R}) = U$ 。

我们拆此事为若干小问题来解决。

---

0\. 任取开区间 $(0, 1)$ 的数 $c$ ,必存在 $t \in (0, 2\pi/4)$ 使 $\cos t = c$ 。

考虑
$$
\begin{aligned}
    \text{$f$:} \quad
    [0, 2\pi/4] & \to \mathbb{R},    \\
    x          & \mapsto \cos {x} - c
\end{aligned}
$$
则 $f$ 为连续函数,且 $f(0) = 1 - c > 0$ , $f(2\pi/4) = -c < 0$ 。从而存在 $t \in (0, 2\pi/4)$ 使 $f(t) = 0$ 。

1\. 若 $u > 0$, $v > 0$, $u^2 + v^2 = 1$ ,则存在 $t \in (0, 2\pi/4)$ 使 $\exp {\mathrm{i}t} = u + \mathrm{i}v$ 。

我们知道,存在 $t \in (0, 2\pi/4)$ 使 $\cos t = u$ 。所以
$$
\sin t = |\sin t| = \sqrt{\sin^2 t} = \sqrt{1 - \cos^2 t} = \sqrt{1 - u^2} = |v| = v
$$
从而 $\exp {\mathrm{i}t} = \cos t + \mathrm{i} \sin t = u + \mathrm{i}v$ 。

2\. 若 $u < 0$, $v > 0$, $u^2 + v^2 = 1$ ,则存在 $t \in (2\pi/4, 2\pi/2)$ 使 $\exp {\mathrm{i}t} = u + \mathrm{i}v$ 。

设 $U + \mathrm{i}V = -\mathrm{i} (u + \mathrm{i}v) = v - \mathrm{i}u$ 。则 $U = v > 0$, $V = -u > 0$, $U^2 + V^2 = 1$ 。从而存在 $s \in (0, 2\pi/4)$ 使 $\exp {\mathrm{i}s} = U + \mathrm{i}V$ 。从而
$$
u + \mathrm{i}v = \mathrm{i}(U + \mathrm{i}V) = \exp {\mathrm{i}\frac{2\pi}{4}} \cdot \exp {\mathrm{i}s} = \exp {\mathrm{i} \bigg( s + \frac{2\pi}{4} \bigg)}
$$
令 $t = s + 2\pi/4$ 。则 $t \in (2\pi/4, 2\pi/2)$ ,且 $\exp {\mathrm{i}t} = u + \mathrm{i} v$ 。

3\. $0 + 1\mathrm{i} = \exp {\mathrm{i}\frac{2\pi}{4}}$ 。所以,若 $v > 0$ 且 $u^2 + v^2 = 1$ ,必存在 $t \in (0, 2\pi/2)$ 使 $\exp {\mathrm{i}t} = u + \mathrm{i}v$ 。

4\. 若 $v < 0$ 且 $u^2 + v^2 = 1$ ,则存在 $t \in (2\pi/2, 2\pi)$ 使 $\exp {\mathrm{i}t} = u + \mathrm{i}v$ 。

设 $U + \mathrm{i}V = - (u + \mathrm{i}v) = v - \mathrm{i}u$ 。则 $V = -v > 0$, $U^2 + V^2 = 1$ 。从而存在 $s \in (0, 2\pi/2)$ 使 $\exp {\mathrm{i}s} = U + \mathrm{i}V$ 。从而
$$
u + \mathrm{i}v = -(U + \mathrm{i}V) = \exp {\mathrm{i}\frac{2\pi}{2}} \cdot \exp {\mathrm{i}s} = \exp {\mathrm{i} \bigg( s + \frac{2\pi}{2} \bigg)}
$$
令 $t = s + 2\pi/2$ 。则 $t \in (2\pi/2, 2\pi)$ ,且 $\exp {\mathrm{i}t} = u + \mathrm{i} v$ 。

5\. 还剩下 $v = 0$ 的情形没说。不过,此时的情形很简单,因为 $u$ 只能为 $\pm 1$ 。 $\exp {\mathrm{i}0} = 1 + 0\mathrm{i}$ 。 $\exp {\mathrm{i}\frac{2\pi}{2}} = -1 + 0\mathrm{i}$ 。

有没有适合小孩子看的数学帖子啊,想看那种…

抱歉,我已经不太会“小孩子的算学”了……

入门一点嘛,这样我也能凑进来讨论下

“入门一点”……或许我要向科普视频的作者学习了。

对,李永乐那种就完美

行,我去西瓜上看看。

A = [0, 2\pi) 。考虑

\begin{aligned} \text{$f$:} \quad A & \to U, \\ x & \mapsto \exp {\mathrm{i}x} = \cos {x} + \mathrm{i} \sin {x} \end{aligned}

那么 f 具有如下二个重要的性质。

0. 任取 x_1, x_2 \in A ,若 x_1 \neq x_2 ,则 f(x_1) \neq f(x_2)

x_2 > x_1 ,则 0 < x_2 - x_1 < 2\pi 。所以

\frac{f(x_2)}{f(x_1)} = f(x_2 - x_1) \neq 1 \implies f(x_2) \neq f(x_1)

类似地,若 x_1 > x_2 ,也有类似的结论。

1. 任取 z \in U ,必有 x \in A 使 f(x) = z 。这是前面刚论证过的事实。

所以, f 不重不漏地变去掉一个端点的线段 A 为单位圆 U

You could see the source code here.
设 $A = [0, 2\pi)$ 。考虑
$$
\begin{aligned}
    \text{$f$:} \quad
    A & \to U,    \\
    x & \mapsto \exp {\mathrm{i}x} = \cos {x} + \mathrm{i} \sin {x}
\end{aligned}
$$
那么 $f$ 具有如下二个重要的性质。

0\. 任取 $x_1$, $x_2 \in A$ ,若 $x_1 \neq x_2$ ,则 $f(x_1) \neq f(x_2)$ 。

若 $x_2 > x_1$ ,则 $0 < x_2 - x_1 < 2\pi$ 。所以
$$
\frac{f(x_2)}{f(x_1)} = f(x_2 - x_1) \neq 1 \implies f(x_2) \neq f(x_1)
$$
类似地,若 $x_1 > x_2$ ,也有类似的结论。

1\. 任取 $z \in U$ ,必有 $x \in A$ 使 $f(x) = z$ 。这是前面刚论证过的事实。

所以, $f$ **不重不漏地**变去掉一个端点的线段 $A$ 为单位圆 $U$ 。

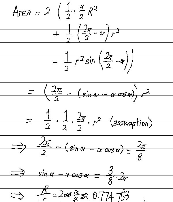
在算学里, \sin {\alpha} - \alpha \cos {\alpha} = cc 为数)一般被认为是“超越方程”,因为它含有超越函数 \cos\sin 。这样的方程的解一般无法用只含多项式、分式、指数、对数、三角函数、反三角函数的式子写出来(因为单独出现的 \alpha 使此式无法变为三角式等简单的式子:对比 \sin \alpha + \sqrt{3} \cos \alpha )。

嗯,我用 PC 算出 \alpha 的近似值。

至于 R/r = 2 \cos {\frac{\alpha}{2}} ,这是几何关系。具体的值也是用 PC 算出的。

1 个赞

好了。至此,我已经定义了最基本的二个三角函数 \cos\sin ,并讨论了它的一些基本性质。这些性质应该跟大家在中学学到的性质保持一致。

大家可能也注意到,我在讨论 \cos\sin 的性质时,从来没提到像“长度”“面积”“角度”等几何概念——这是因为分析学不需要这些概念。

我们定义了算学里一个十分重要的常数 2\pi 。因为 6 < 2\pi < 6.4 ,所以这应该跟“圆周率的二倍”是一致的。这是否真地一致呢?这需要我们细致地、严谨地考察几何概念。我就不展开了。

表演结束。

感觉楼主把知识用某种联系或角度又串了一遍,并多了很多新知识,比学校教的数学有趣多了

谢谢。


学到新知识是自然的。毕竟,从教学上看,可能没有人对三角函数的初印象是像上面那样吧?

事实上,我一年级学微积分时就注意到“循环论证问题”了。我当时问老师:“如何论证扇形的面积公式?”老师不假思索地说,用定积分。我问:“那计算面积时是不是要用三角换元?”老师说,是。然后我问:“这要用到 N-L 公式,对吧?那三角函数的导数公式的论证要用到重要极限,可重要极限的论证得用到扇形的面积呀。”老师被问住了。想了一会儿,老师说,重新定义三角函数就可以了。于是我上网找资料。不出意外地,我不是很能看懂。不过,我相信,我大一点儿就能懂了。的确——看的书多了,就能理解一些操作的本质。我把资料里一些看起来“吓人的”步骤替换为更容易被理解的内容,并尽量降低门槛。这产生了本贴。(全网能自由输入并正常显示算学公式的非算学论坛太少了。选非算学论坛,就是想知道自己展现的知识能否被一般人理解。)

您觉得它有趣就好。


曾经,小众论坛也不支持 $...$$$...$$ 的。不过,后来支持了,我就发了三篇算学贴子。基本上,手痒了,就来写写。

1 个赞

我高数没有好好学,但也想过类似的问题

老师有时候会出证明题

我当时遇见过这种困扰:

一个问题,可以按照教科书那样,先给定已知的结论,再推导出来,
但是有时候明明可以用后面的知识直接秒。

我就在想,人类的学术知识体系是在漫长的时间中逐渐建立起来的,

我在证明一个「数学习题」的时候,是否需要先定位这个问题会发生在什么时间,再用这个时间之前的已有知识去证明?而之后的知识有时候能秒掉这个问题。
(或者说这个时间是教材上的知识体系中的顺序,而不是真正的历史顺序)

而且在上学时,很多结论都是一开始就给好了。再不断往推导下去

当时我从时间的角度想过这个问题,但是也就就止于此了,考试及格就过去了,没有达到循环论证这么深入。这个帖子让我想起了当时的疑惑。


感觉其他理科会更注重历史,讲的是人类探索自然的一步步发现,而mathematics则更客观或永恒

1 个赞

嘛,出现“后面的知识直接秒”这个现象是正常的。一方面,编者有自己编书的方式,有意让读者体会到某些工具或思想的重要性;另一方面,算学的知识点一般都不是孤立的。

一般而言,逻辑上说得过去就行。

经典“笑话”:对数其实比指数早出现。


算学本来就是这样吧。我觉得,这也是算学跟自然科学,尤其是“用到算学的自然科学”的一个区别。

1 个赞